How to Resolve IRS Rejection, Incorrect Data: Schedule B, Address Not Applicable
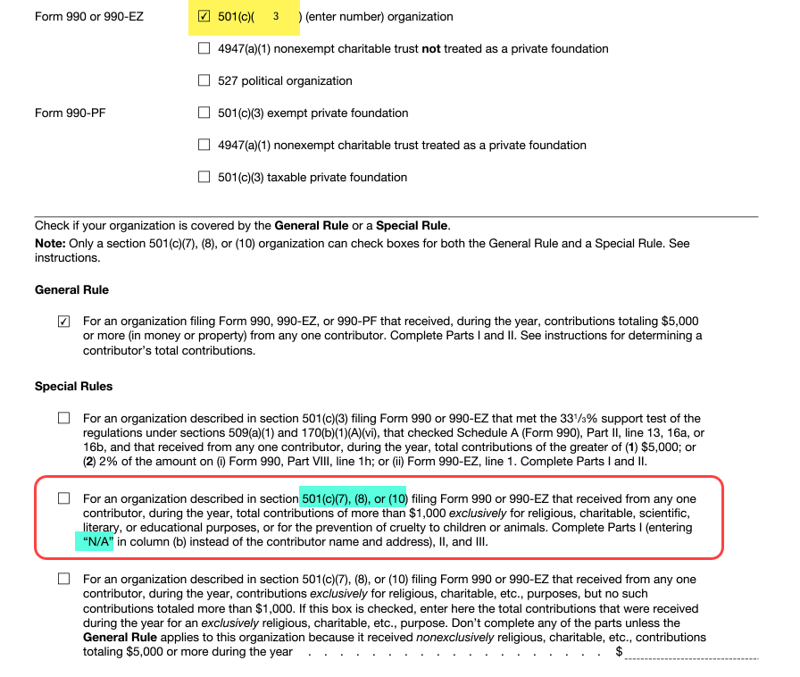
IRS Rejection Reason Incorrect Data: If Schedule B (Form 990, 990-EZ, or 990-PF), Part I, col (b) "Address" contains the value "AddressNotApplicableCd", then 'Organization501cInd' checkbox must be checked and.
IRS Rejection Reason
Incorrect Data: If Schedule B (Form 990, 990-EZ, or 990-PF), Part I, col (b) "Address" contains the value "AddressNotApplicableCd", then 'Organization501cInd' checkbox must be checked and 'organization501cTypeTxt' must not equal "3".
RuleNum: SB-F990-015
Issue: A 501(c)(3) organization type has to fill in the addresses for their contributors. It cannot use N/A or leave the address blank.
Resolution:
- Navigate to Tax Forms -> Form 990 -> Schedule B
- Enter any missing addresses
- Click Done
- Click "Save" in the Tools Bar
- Resubmit the return



IRS Form: N/A is applicable for 501(c)(7), (8), or (10)